مراجعات نهائية في مقرر الفصل الدراسي الثاني في الرياضيات أولى ثانوي
إجابات نموذجية لتقييم الأسبوع الخامس رياضيات أولى ثانوي 2026
إجابات نموذجية لتقييم الأسبوع الخامس رياضيات.. تزايد البحث من قبل طلاب وطالبات الصف الأول الثانوي عن اجابات أسئلة تقييم الأسبوع الرابع في مادة الرياضيات الصف الأول الثانوي ترم ثاني، للعام الدراسي الجاري 2025-2026.

إجابات نموذجية لتقييم الأسبوع الخامس رياضيات.. وتحميل أسئلة تقييم الأسبوع الخامس الرياضيات الصف الأول الثانوي، حيث يواصل موقع السبورة نشر مراجعة ليلة الامتحان من خلال تحميل أقوى أسئلة تقييم الأسبوع الخامس الرياضيات، من خلال مراجعات نهائيه، واستعراض جميع نظام أسئلة امتحانات الرياضيات، وشرح مبسط، واستعراض لجميع أسئلة مادة الرياضيات، عن طريق نشر العديد من الامتحانات، لطلاب وطالبات الصف الأول الثانوي، في مراجعات نهائية، لن يخرج عنها امتحان آخر العام، ومن خلال متابعة مراجعات نهائية أعدها خبراء المادة في وزارة التربية والتعليم.

أسئلة تقييم الأسبوع الخامس الرياضيات فرع الهندسة أولى ثانوي
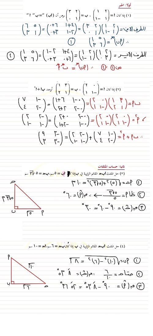
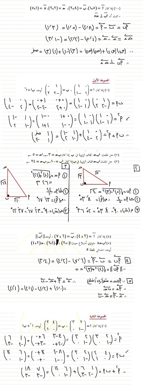
إجابات نموذجية لتقييم الأسبوع الخامس رياضيات.. ويستعرض موقع السبورة من خلال مراجعات نهائية، نشر أسئلة تقييم الأسبوع الخامس الرياضيات فرع الهندسة الصف الأول الثانوي، مش هتقدر تفوتها من خلال مراجعات نهائية، في موقع السبورة، وقسم درس خصوصي، الذي يضمن لك التفوق والتميز، بعد نشر مراجعات نهائية، وتحميل مذكرة ليلة الامتحان في مادة الرياضيات لطلاب وطالبات الصف الأول الثانوي.

مراجعات نهائية في مقرر الفصل الدراسي الثاني في الرياضيات أولى ثانوي
إجابات نموذجية لتقييم الأسبوع الخامس رياضيات.. وتحميل أقوى أسئلة تقييم الأسبوع الخامس الرياضيات الصف الأول الثانوي، تضمن لك دخول الامتحان وهو في جيبك، من خلال امتحانات مادة الرياضيات، تضمن لك مراجعات نهائية في منهج الفصل الدراسي الثاني، والتى تعد مرجعا أساسيا في مراجعات نهائية، لمقرر المنهج الدراسي للعام الدراسي الجاري 2025-2026، أعدها خبراء المادة في وزارة التربية والتعليم، من أجل مراجعات نهائيه لطلاب الصف الأول الثانوي، وللدخول على رابط التقييم الأسبوع الخامس الرياضيات فرع الهندسة.
لطلاب أولى ثانوي.. بالاجابات أسئلة الأسبوع الخامس إنجليزي الترم الثاني
أسئلة تقييم الأسبوع الخامس لغة عربية ترم ثاني الصف الأول الثانوي
بالشرح والإجابات.. تقييم الأسبوع الخامس التاريخ للصف الأول الثانوي ترم ثاني
النموذج الكامل لإجابات أسئلة تقييم الأسبوع الخامس تربية إسلامية أولى ثانوي ترم ثاني
للطلاب وأولياء الأمور.. إجابات تقييم الأسبوع الخامس فلسفة ومنطق أولى ثانوي ترم ثاني
امتحان فرنساوي.. نموذج تقييم الأسبوع الخامس بالإجابات أولى ثانوي
بالشرح والحلول.. التقييم الأسبوعي الخامس علوم متكاملة أولى ثانوي ترم ثاني
- إجابات نموذجية لتقييم الأسبوع الخامس رياضيات
- حل تقييم الأسبوع الخامس رياضيات أولى ثانوي
- حل أسئلة تقييم الأسبوع الخامس الرياضيات فرع الهندسة
- مراجعات نهائية
- مراجعة نهائية
- التقييمات الأسبوعية
- الصف الاول الثانوى
- اولى ثانوى
- تقييمات الأسبوع الخامس الصف الأول الثانوي
- تقييمات الأسبوع الخامس أولى ثانوي
- الأسبوع الخامس تقييم أولى ثانوي
- الأسبوع الخامس تقييم أولى ثانوي الرياضيات
- تقييم الأسبوع الخامس الرياضيات أولى ثانوي
- الرياضيات تقييم الأسبوع الخامس
- أولى ثانوي الرياضيات تقييم الأسبوع الخامس
- تقييم الأسبوع أولى ثانوي
- التقييمات الأسبوعية أولى ثانوي
- التقييم الأسبوعي الرياضيات أولى ثانوي
- التقييم الاسبوعي
- المراجعات النهائية
- المراجعة النهائية
- أخبار المراجعات النهائية
- أخبار المراجعات النهائية اليوم
- المراجعة النهائية اليوم
- أخبار المراجعة النهائية
- أخبار المراجعة النهائية اليوم
- مراجعة نهائية اليوم
- أخبار مراجعة نهائية
- أخبار مراجعة نهائية اليوم
- مراجعات نهائيه الرياضيات
- الرياضيات مراجعات نهائية الصف الأولى الثانوي
- مراجعات نهائية الصف الأولى الثانوي الرياضيات
- مراجعات نهائيه امتحان الرياضيات أولى ثانوي
- الصف الأولى الثانوي الرياضيات
- تحميل مذكرة الرياضيات اولى ثانوي
- تحميل مذكرات أولى ثانوي رياضيات
- تحميل مذكرات الرياضيات أولى ثانوي
- درس خصوصى
- أخبار درس خصوصي
- أخبار درس خصوصي اليوم
- التقييم الاسبوعي للصف الأول الثانوي رياضيات
- حل التقييم الاسبوعي للصف الأول الثانوي رياضيات
- التقييم الاسبوعي للصف الأول الثانوي الرياضيات
- حل التقييم الاسبوعي للصف الأول الثانوي الرياضيات
- التقييم الاسبوعي للصف الأول الثانوي pdf
- التقييم الاسبوعي للصف الأول الثانوي إنجليزي
- التقييم الاسبوعي للصف الأول الثانوي فيزياء
- حل التقييم الاسبوعي للصف الأول الثانوي عربي pdf
- حل التقييم الاسبوعي للصف الأول الثانوي عربي الاسبوع الثالث
- موقع وزارة التربية والتعليم التقييم الاسبوعي
- حل التقييم الاسبوعي للصف الأول الثانوي احياء
- حل التقييم الاسبوعي للصف الأول الثانوي انجليزي
- حل التقييم الاسبوعي للصف الأول الثانوي علوم متكاملة
- حل التقييم الاسبوعي للصف الأول الثانوي التاريخ
- حل التقييم الاسبوعي للصف الأول الثانوي الفلسفة والمنطق
- حل التقييم الاسبوعي للصف الأول الثانوي الجغرافيا








