اسهل حل وإجابات لتقييم الأسبوع السادس رياضيات أولى ثانوي ترم ثاني
اسهل حل وإجابات لتقييم الأسبوع السادس رياضيات.. يبحث طلاب الصف الأول الثانوي وأولياء الأمور خلال الفترة الحالية عن أسهل الطرق لفهم وحل أسئلة تقييم الأسبوع السادس في مادة الرياضيات للترم الثاني، خاصة مع اقتراب الاختبارات والتقييمات الدورية التي تعتمد عليها المدارس في قياس مستوى الطلاب. ويحرص العديد من الطلاب على الاطلاع على الحلول النموذجية التي تساعدهم على فهم الأفكار الأساسية والتدريب على طريقة الحل الصحيحة.



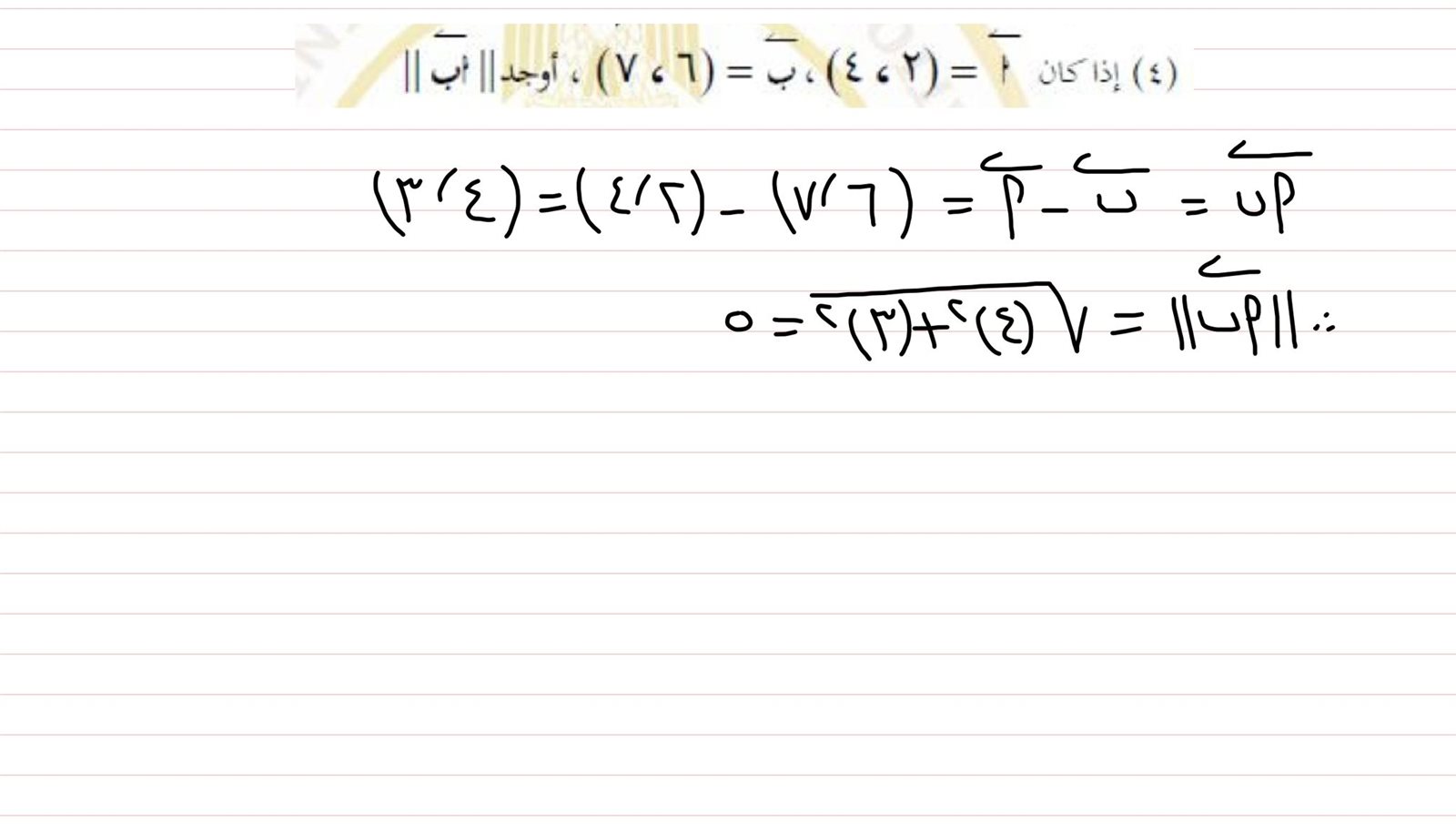
إجابات تقييم الأسبوع السادس
اسهل حل وإجابات لتقييم الأسبوع السادس رياضيات.. ويقدم عدد من المعلمين المتخصصين شرحًا مبسطًا لإجابات تقييم الأسبوع السادس، حيث يتم توضيح خطوات الحل بشكل تدريجي، مع التركيز على القواعد الأساسية التي يعتمد عليها المنهج، بما يتيح للطلاب استيعاب الأفكار الرياضية بسهولة وتجنب الأخطاء الشائعة أثناء الحل.



حل التقييمات الأسبوعية بانتظام يسهم بشكل كبير في تثبيت المعلومات
اسهل حل وإجابات لتقييم الأسبوع السادس رياضيات.. ويؤكد الخبراء التربويون أن حل التقييمات الأسبوعية بانتظام يسهم بشكل كبير في تثبيت المعلومات، كما يساعد الطالب على اكتساب مهارات التفكير والتحليل الرياضي، خاصة في موضوعات الجبر وحل المعادلات والتعامل مع المسائل التطبيقية التي يتضمنها منهج الرياضيات للصف الأول الثانوي.

مراجعة القوانين الأساسية المستخدمة في كل مسألة
اسهل حل وإجابات لتقييم الأسبوع السادس رياضيات.. كما ينصح المعلمون الطلاب بقراءة السؤال جيدًا قبل البدء في الحل، ومراجعة القوانين الأساسية المستخدمة في كل مسألة، إلى جانب التدريب المستمر على نماذج مشابهة من الأسئلة، وهو ما يسهم في رفع مستوى الفهم والاستعداد الجيد للاختبارات القادمة.

قياس مدى استيعاب الطلاب لما تم دراسته خلال الأسبوع
اسهل حل وإجابات لتقييم الأسبوع السادس رياضيات.. وتعد التقييمات الأسبوعية جزءًا مهمًا من نظام المتابعة التعليمية، حيث تهدف إلى قياس مدى استيعاب الطلاب لما تم دراسته خلال الأسبوع، مع إتاحة الفرصة لمعالجة أي نقاط ضعف مبكرًا، وهو ما يساعد في تحسين مستوى التحصيل الدراسي بشكل عام.

اسهل حل وإجابات لتقييم الأسبوع السادس رياضيات.. ويؤكد المعلمون أن الاطلاع على الحلول النموذجية لتقييم الأسبوع السادس في الرياضيات يمثل فرصة مهمة للطلاب لمراجعة الدروس وفهم الأفكار الرئيسية في المنهج، بما يضمن تحقيق أفضل أداء خلال التقييمات والاختبارات المقبلة.
الحلول الكاملة لأسئلة تقييم الأسبوع السادس تربية إسلامية أولى ثانوي ترم ثاني
الاجابة النموذجية لأسئلة تقييم الأسبوع السادس لغة عربية ترم ثاني الصف الأول الثانوي
بالإجابات اختبارات فلسفة ومنطق للصف الأول الثانوي ترم تاني على مقرر شهر مارس
الشرح المفصل لأسئلة التقييم الأسبوعي السادس علوم متكاملة اولى ثانوي ترم ثاني
- اسهل حل وإجابات لتقييم الأسبوع السادس رياضيات
- تقييم الأسبوع السادس
- حلول رياضيات أولى ثانوي
- إجابات نموذجية
- أسهل طريقة حل
- منهج الرياضيات الترم الثاني
- مسائل الجبر
- مراجعة الرياضيات
- تدريبات امتحانات
- فهم الأفكار الرياضية
- نصائح المعلمين
- مراجعة أسبوعية
- رفع مستوى التحصيل
- اختبارات الطلاب
- حل تدريجي خطوة بخطوة
- القوانين الأساسية
- مسائل تطبيقية
- تقوية المهارات الحسابية
- مراجعة قبل الامتحان
- شرح مبسط
- أفضل أداء في التقييم
- الصف الاول الثانوى
- الصف الأول الثانوي اليوم
- أخبار الصف الأول الثانوي
- أخبار الصف الأول الثانوي اليوم
- اولى ثانوى
- أولى ثانوي اليوم
- أخبار أولى ثانوي
- أخبار أولى ثانوي اليوم





