روشتة التفوق في الكيمياء لـ الثانوية العامة
مراجعات نهائيه.. 250 معادلة في الكيمياء على جميع المنهج لـ الثانوية العامة
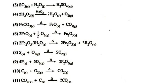
مراجعات نهائيه.. 250 معادلة في الكيمياء على جميع المنهج لطلاب وطالبات الثانوية العامة، للعام الدراسي الجاري 2023-2042، في مراجعات نهائيه حيث يواصل موقع السبورة نشر 250 معادلة كيميائية لطلاب وطالبات الثانوية العامة من خلال مراجعات نهائيه، واستعراض جميع نظام أسئلة امتحانات مادة الكيمياء، وشرح مبسط، واستعراض لجميع معادلات الكيمياء عن طريق نشر 250 معادلة، لطلاب وطالبات الثانوية العامة، في مراجعات نهائيه، لن يخرج عنها امتحان آخر العام، ومن خلال متابعة مراجعات نهائيه أعدها خبراء المادة في وزارة التربية والتعليم.
استعراض 250 معادلة في مادة الكيمياء
ويستعرض موقع السبورة من خلال مراجعات نهائيه، نشر أقوى مذكرة من خلال استعراض 250 معادلة في مادة الكيمياء، مش هتقدر تفوتها من خلال مراجعات نهائيه، في موقع السبورة، وقسم درس خصوصي، الذي يضمن لك التفوق والتميز، بعد نشر مراجعات نهائيه، وتحميل أبرز 250 معادلة في مادة الكيمياء لطلاب وطالبات الثانوية العامة 2024.
تحميل أقوى معادلات في مادة الكيمياء
وتحميل أقوى معادلات في مادة الكيمياء، تضمن لك دخول الامتحان وهو في جيبك، لطلاب وطالبات الثانوية العامة، من خلال امتحانات آخر العام، تضمن لك مراجعات نهائيه في المنهج الدارسي بأكمله، والتى تعد مرجعا أساسيا في مراجعات نهائيه، لمقرر المنهج الدراسي للعام الدراسي الجاري 2023-2024، أعدها خبراء المادة في وزارة التربية والتعليم، من أجل مراجعات نهائيه لطلاب الثانوية العامة.
أقرأ المزيد
مراجعات نهائيه.. 850 سؤالا وإجابتهم في الكيمياء لـ الثانوية العامة
مراجعات نهائيه.. 17 ورقة و250 سؤالا في ملخص النحو الثانوية العامة 2024
مراجعات نهائيه.. 10 ورقات ملخص بلاغة الثانوية العامة 2024
مراجعات نهائيه.. 320 سؤالا وإجابتهم بنظام البابل شيت لـ الثانوية العامة
مراجعات نهائيه.. 13 ورقة ملخص منهج النحو لـ الثانوية العامة.. و100 معلومة نحوية
مراجعات نهائيه.. 650 سؤالا وإجابتهم في اللغة العربية لـ الثانوية العامة.. درس خصوصي
المراجعة النهائية فى الاستاتيكا للثانوية العامة.. "س" و"ج" علي الإحتكاك والعزوم
بنك لأهم الأسئلة في مادة التفاضل والتكامل للثانوية العامة
تريكات اللغة الانجليزية للصف الثالث الثانوى.. الامتحان فى جيبك
ملخص لكل جرامر ثالثة ثانوي بأمثلة توضيحية مش هيخرج عنهم الامتحان
تعرف علي أهم تريكات الكلمات وعكسها في انجليزي الشهادة الثانوية
- مراجعات نهائية
- مراجعات نهائيه معادلات الكيمياء
- مراجعات نهائيه كيمياء
- 850 سؤالا وإجابتهم كيمياء
- مراجعات نهائيه النحو
- مخلص النحو ثانوية عامة
- 13 ورقة ملخص النحو الثانوية العامة
- مراجعات نهائيه بلاغة
- مراجعات نهائيه عربي
- مراجعات نهائيه لغة عربية
- اللغة العربية
- المراجعة النهائية
- مراجعة نهائية
- المراجعات النهائية
- المراجعات نهائية
- مراجعة مواد الثانوية العامة
- الثانوية العامة
- الصف الثالث الثانوي
- درس خصوصى
- أخبار درس خصوصي
- أخبار درس خصوصي اليوم
- مراجعات نهائية ترم ثاني
- مراجعة نهائية ترم ثاني
- مراجعة الثانوية العامة
- مراجعات درس خصوصي
- مراجعة التفاضل والتكامل الصف الثالث الثانوي
- الرياضيات
- رياضيات
- رياضيات ثانوية عامة
- الرياضيات الثانوية العامة
- تفاضل وتكامل ثانوية عامة
- التفاضل والتكامل الثانوية العامة
- مراجعة لغة عربية
- مراجعة عربي ثانوية عامة
- مراجعة نحو ثانوية عامة
- مراجعة نصوص ثانوية عامة
- مراجعة اللغة العربية الثانوية العامة
- مراجعات نهائية الديناميكا
