مراجعات نهائية في مقرر الفصل الدراسي الثاني في الرياضيات أولى ثانوي
بالاجابات أسئلة تقييم الأسبوع الثاني الرياضيات فرع الهندسة أولى ثانوي ترم ثاني
بالاجابات أسئلة تقييم الأسبوع الثاني الرياضيات فرع الهندسة.. أسئلة تقييم الأسبوع الثاني الرياضيات فرع الهندسة الصف الأول الثانوي ترم ثاني، للعام الدراسي الجاري 2025-2026، في مراجعات نهائية وتحميل أسئلة تقييم الأسبوع الثاني الرياضيات فرع الهندسة الصف الأول الثانوي، حيث يواصل موقع السبورة نشر مراجعة ليلة الامتحان من خلال تحميل أقوى أسئلة تقييم الأسبوع الثاني الرياضيات فرع الهندسة، من خلال مراجعات نهائيه، واستعراض جميع نظام أسئلة امتحانات الرياضيات، وشرح مبسط، واستعراض لجميع أسئلة مادة الرياضيات، عن طريق نشر العديد من الامتحانات، لطلاب وطالبات الصف الأول الثانوي، في مراجعات نهائية، لن يخرج عنها امتحان آخر العام، ومن خلال متابعة مراجعات نهائية أعدها خبراء المادة في وزارة التربية والتعليم.



أسئلة تقييم الأسبوع الثاني الرياضيات فرع الهندسة أولى ثانوي
بالاجابات أسئلة تقييم الأسبوع الثاني الرياضيات فرع الهندسة.. ويستعرض موقع السبورة من خلال مراجعات نهائية، نشر أسئلة تقييم الأسبوع الثاني الرياضيات فرع الهندسة الصف الأول الثانوي، مش هتقدر تفوتها من خلال مراجعات نهائية، في موقع السبورة، وقسم درس خصوصي، الذي يضمن لك التفوق والتميز، بعد نشر مراجعات نهائية، وتحميل مذكرة ليلة الامتحان في مادة الرياضيات لطلاب وطالبات الصف الأول الثانوي.



مراجعات نهائية في مقرر الفصل الدراسي الثاني في الرياضيات أولى ثانوي
بالاجابات أسئلة تقييم الأسبوع الثاني الرياضيات فرع الهندسة.. وتحميل أقوى أسئلة تقييم الأسبوع الثاني الرياضيات فرع الهندسة الصف الأول الثانوي، تضمن لك دخول الامتحان وهو في جيبك، من خلال امتحانات مادة الرياضيات، تضمن لك مراجعات نهائية في منهج الفصل الدراسي الثاني، والتى تعد مرجعا أساسيا في مراجعات نهائية، لمقرر المنهج الدراسي للعام الدراسي الجاري 2025-2026، أعدها خبراء المادة في وزارة التربية والتعليم، من أجل مراجعات نهائيه لطلاب الصف الأول الثانوي، وللدخول على رابط التقييم الأسبوع الثاني الرياضيات فرع الهندسة.



حل أسئلة تقييم الأسبوع الثاني الرياضيات فرع الجبر الصف الأول الثانوي ترم ثاني
حل أسئلة تقييم الأسبوع الثاني لغة عربية ترم ثاني الصف الأول الثانوي
تقيمات الاسبوع الثاني لغة فرنسية بدون حل لـ الصف الأول الثانوي ترم ثاني
مراجعات نهائية.. أسئلة تقييم الأسبوع الثاني العلوم المتكاملة لغات الصف الأول الثانوي
أسئلة تقييمات الأسبوع الثاني التربية المسيحية الصف الأول الثانوي
أسئلة تقييمات الأسبوع الثاني في التربية الاسلامية ترم ثاني أولى ثانوي
أسئلة تقييمات الأسبوع الثاني في التاريخ بالاجابات ترم ثاني أولى ثانوي
بالاجابات أسئلة تقييم الأسبوع الأول في الهندسة الصف الأول الثانوي ترم ثاني
حل أسئلة تقييم الأسبوع الأول الرياضيات فرع الجبر الصف الأول الثانوي ترم ثاني
لطلاب أولى ثانوي.. أسئلة تقييم الأسبوع الثاني الفلسفة والمنطق بالاجابات
مراجعات نهائية.. حل التقييمات الأسبوعين الأول والثاني في البرمجة والذكاء اصطناعي أولي ثانوي
بالاجابات أسئلة تقييمات الأسبوع الثاني اللغة الإنجليزية الصف الأول الثانوي ترم ثاني
لطلاب أولى ثانوي.. بالاجابات حل أسئلة تقييم الأسبوع الثاني العلوم المتكاملة ترم ثاني
مراجعات نهائية.. حل أسئلة تقييم الأسبوع الأول العلوم المتكاملة أولى ثانوي ترم ثاني
بالاجابات أسئلة تقييمات الأسبوع الأول في التاريخ ترم ثاني أولى ثانوي
بالاجابات أسئلة تقييم الأسبوع الأول لغة عربية ترم ثاني الصف الأول الثانوي
مراجعات نهائية.. إجابة تقييم الاسبوع الاول فلسفة ومنطق اولى ثانوي ترم ثاني
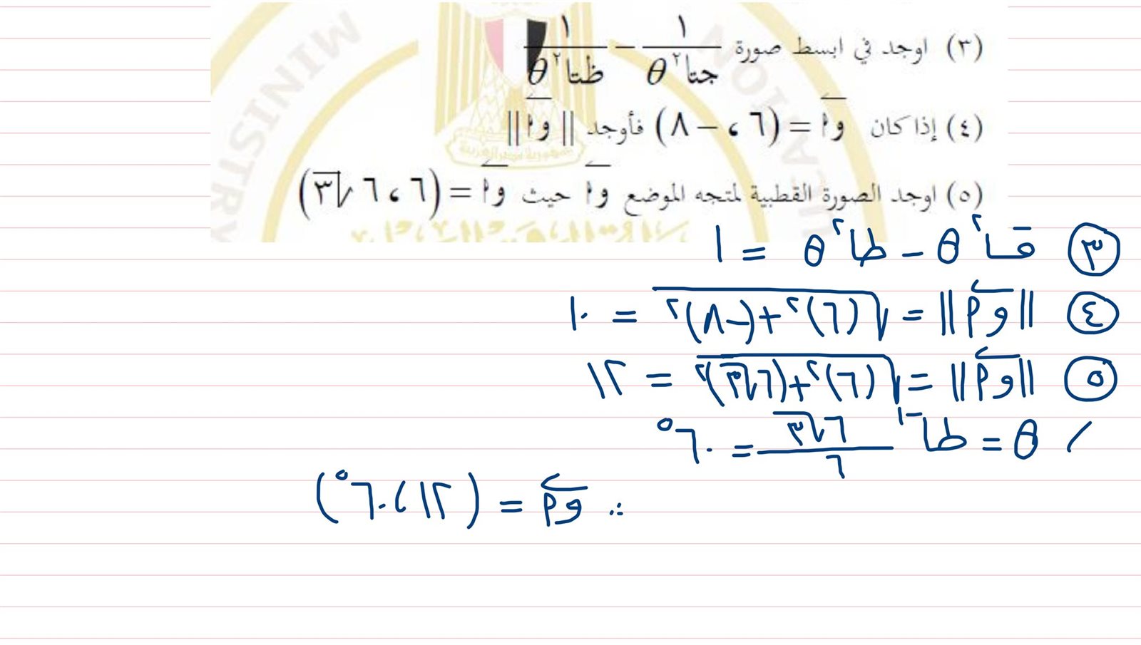
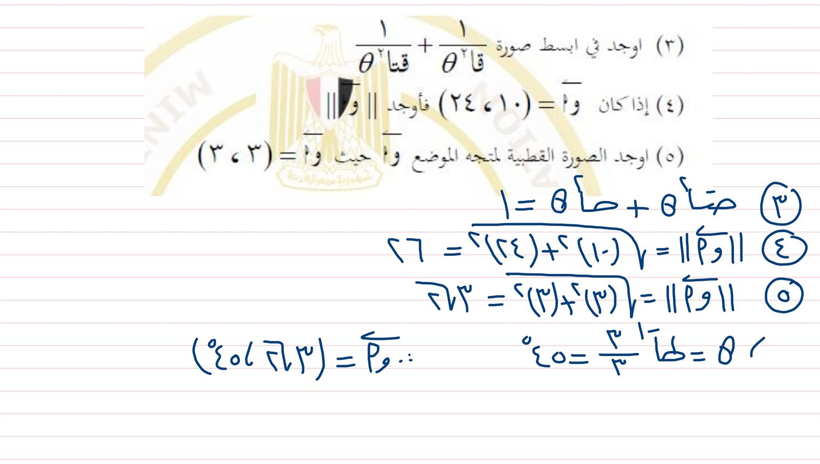
- بالاجابات أسئلة تقييم الأسبوع الثاني الرياضيات فرع الهندسة
- حل أسئلة تقييم الأسبوع الثاني الرياضيات فرع الهندسة
- مراجعات نهائية
- مراجعة نهائية
- التقييمات الأسبوعية
- الصف الاول الثانوى
- اولى ثانوى
- تقييمات الأسبوع الثاني الصف الأول الثانوي
- تقييمات الأسبوع الثاني أولى ثانوي
- الأسبوع الثاني تقييم أولى ثانوي
- الأسبوع الثاني تقييم أولى ثانوي الرياضيات
- تقييم الأسبوع الثاني الرياضيات أولى ثانوي
- الرياضيات تقييم الأسبوع الثاني
- أولى ثانوي الرياضيات تقييم الأسبوع الثاني
- تقييم الأسبوع أولى ثانوي
- التقييمات الأسبوعية أولى ثانوي
- التقييم الأسبوعي الرياضيات أولى ثانوي
- التقييم الاسبوعي
- المراجعات النهائية
- المراجعة النهائية
- أخبار المراجعات النهائية
- أخبار المراجعات النهائية اليوم
- المراجعة النهائية اليوم
- أخبار المراجعة النهائية
- أخبار المراجعة النهائية اليوم
- مراجعة نهائية اليوم
- أخبار مراجعة نهائية
- أخبار مراجعة نهائية اليوم
- مراجعات نهائيه الرياضيات
- الرياضيات مراجعات نهائية الصف الأولى الثانوي
- مراجعات نهائية الصف الأولى الثانوي الرياضيات
- مراجعات نهائيه امتحان الرياضيات أولى ثانوي
- الصف الأولى الثانوي الرياضيات
- تحميل مذكرة الرياضيات اولى ثانوي
- تحميل مذكرات أولى ثانوي رياضيات
- تحميل مذكرات الرياضيات أولى ثانوي
- درس خصوصى
- أخبار درس خصوصي
- أخبار درس خصوصي اليوم
- التقييم الاسبوعي للصف الأول الثانوي رياضيات
- حل التقييم الاسبوعي للصف الأول الثانوي رياضيات
- التقييم الاسبوعي للصف الأول الثانوي الرياضيات
- حل التقييم الاسبوعي للصف الأول الثانوي الرياضيات
- التقييم الاسبوعي للصف الأول الثانوي pdf
- التقييم الاسبوعي للصف الأول الثانوي إنجليزي
- التقييم الاسبوعي للصف الأول الثانوي فيزياء
- حل التقييم الاسبوعي للصف الأول الثانوي عربي pdf
- حل التقييم الاسبوعي للصف الأول الثانوي عربي الاسبوع الثالث
- موقع وزارة التربية والتعليم التقييم الاسبوعي
- حل التقييم الاسبوعي للصف الأول الثانوي احياء
- حل التقييم الاسبوعي للصف الأول الثانوي انجليزي
- حل التقييم الاسبوعي للصف الأول الثانوي علوم متكاملة
- حل التقييم الاسبوعي للصف الأول الثانوي التاريخ
- حل التقييم الاسبوعي للصف الأول الثانوي الفلسفة والمنطق
- حل التقييم الاسبوعي للصف الأول الثانوي الجغرافيا







