مراجعات نهائية في مقرر الفصل الدراسي الأول الهندسة ثالثة إعدادي
مراجعات نهائية.. حل امتحان الهندسة بمحافظة الجيزة لـ الشهادة الإعدادية 2025
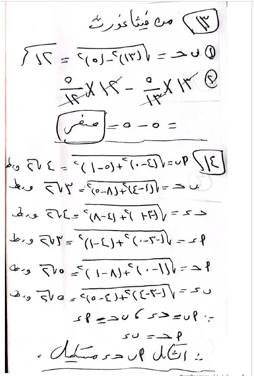
مراجعات نهائية.. حل امتحان الهندسة بمحافظة الجيزة لـ الصف الثالث الإعدادي، للعام الدراسي الجاري 2024-2025، في مراجعات نهائيه وتحميل حل امتحان الهندسة بمحافظة الجيزة، حيث يواصل موقع السبورة نشر مراجعة ليلة الامتحان من خلال تحميل حل امتحان الهندسة بمحافظة الجيزة، لطلاب وطالبات الصف الثالث الإعدادي، من خلال مراجعات نهائيه، واستعراض جميع نظام أسئلة امتحانات مادة الرياضيات، وشرح مبسط، واستعراض لجميع امتحان بوكليت في الرياضيات، عن طريق نشر العديد من الامتحانات، لطلاب وطالبات الصف الثالث الإعدادي، في مراجعات نهائيه، لن يخرج عنها امتحان آخر العام، ومن خلال متابعة مراجعات نهائيه أعدها خبراء المادة في وزارة التربية والتعليم.
أقوى مراجعة في ليلة امتحان مادة الهندسة الشهادة الإعدادية
مراجعات نهائية.. ويستعرض موقع السبورة من خلال مراجعات نهائية، نشر حل امتحان الهندسة بمحافظة الجيزة، مش هتقدر تفوتها من خلال مراجعات نهائيه، في موقع السبورة، وقسم درس خصوصي، الذي يضمن لك التفوق والتميز، بعد نشر مراجعات نهائيه، وتحميل مذكرة ليلة الامتحان في الرياضيات لطلاب وطالبات الصف الثالث الإعدادي.
مراجعات نهائية في مقرر الفصل الدراسي الأول الهندسة ثالثة إعدادي
مراجعات نهائية.. وتحميل حل امتحان الهندسة بمحافظة الجيزة، تضمن لك دخول الامتحان وهو في جيبك، لطلاب وطالبات الصف الثالث الإعدادي، من خلال امتحانات الرياضيات، تضمن لك مراجعات نهائية في منهج الفصل الدراسي الأول، والتى تعد مرجعا أساسيا في مراجعات نهائيه، لمقرر المنهج الدراسي للعام الدراسي الجاري 2023-2024، أعدها خبراء المادة في وزارة التربية والتعليم، من أجل مراجعات نهائيه لطلاب الثالث الإعدادي.





إقرأ المزيد
مراجعات نهائية.. حل امتحان الهندسة بمحافظة القليوبية لـ الشهادة الإعدادية 2025
مراجعات نهائية.. أبرز قوانين الهندسة لـ الشهادة الإعدادية
مراجعات نهائية.. حل نموذج الوزارة في امتحان الهندسة وحساب المثلثات لـ الشهادة الإعدادية
مراجعات نهائية.. 160سؤالا وإجابتها في الهندسة لـ الشهادة الإعدادية
مراجعات نهائية.. بنك أسئلة يضم أكثر من 100 سؤال بالاجابات في الهندسة وحساب المثلثات لـ الشهادة الإعدادية
مراجعات نهائية.. 100 سؤال وإجابتها في الهندسة وحساب المثلثات لـ الصف الثالث الإعدادي
مراجعات نهائية.. بالاجابات نموذج الوزارة في امتحان الجبر لـ الصف الثالث الإعدادي
مراجعات نهائية.. ملخص قوانين الجبر والهندسة لـ الصف الثالث الإعدادي
مراجعات نهائية.. أصعب درس دوال كثيرة الحدود في الجبر لـ الصف الثالث الإعدادي
مراجعات نهائية.. 18 نموذجا لن يخرج عنها امتحان الترم الأول في الجبر لـ الصف الثالث الإعدادي
- مراجعات نهائية
- حل امتحان الهندسة بمحافظة الجيزة
- حل امتحان هندسة ثالثة إعدادي الجيزة
- إجابات امتحان هندسة الشهادة الإعدادية الجيزة
- نموذج إجابة امتحان هندسة ثالثة إعدادي
- حلول تمارين هندسة ثالثة إعدادي
- مراجعة نهائية هندسة ثالثة إعدادي
- حل امتحان هندسة ثالثة إعدادي ترم أول الجيزة
- حل امتحان هندسة الشهادة الإعدادية ترم أول الجيزة
- حل امتحان هندسة ثالثة إعدادي نهائي الجيزة
- حل امتحان هندسة ثالثة إعدادي الجيزة 2025
- حل امتحان هندسة ثالثة إعدادي الجيزة pdf
- حل امتحان هندسة ثالثة إعدادي الجيزة بالتفصيل
- أسئلة امتحان هندسة متوقعة ثالثة إعدادي
- شرح دروس هندسة ثالثة إعدادي
- مراجعة نهائية هندسة قبل الامتحان
- حلول تمارين كتاب المعاصر هندسة ثالثة إعدادي
- حلول تمارين كتاب الامتحان هندسة ثالثة إعدادي
- حل امتحان هندسة ثالثة إعدادي ترم أول محافظة القليوبية 2024 كتاب المعاصر
- أسئلة امتحان هندسة متوقعة ثالثة إعدادي المثلثات
- شرح دروس هندسة ثالثة إعدادي الدوائر بالتفصيل
- مراجعات نهائية أبرز قوانين الهندسة ثالثة اعدادي
- مراجعات نهائيه هندسة ثالثة إعدادي
- امتحان الرياضيات ثالثة إعدادي
- امتحان هندسة ثالثة اعدادي
- الرياضيات مراجعات نهائية الصف الثالث الإعدادي
- مراجعات نهائيه الصف الثالث الإعدادي
- الرياضيات الصف الثالث الإعدادي
- الرياضيات ثالثة اعدادي
- تحميل مذكرة الرياضيات ثالثة إعدادي
- تحميل مذكرات الثالث الإعدادي الرياضيات
- تحميل مذكرات الرياضيات ثالثة إعدادي
- درس خصوصى
- أخبار درس خصوصي
- أخبار درس خصوصي اليوم
- المراجعة النهائية
- المراجعات النهائية
- أخبار المراجعات النهائية
- أخبار المراجعات النهائية اليوم
- مراجعة نهائية اليوم
- أخبار مراجعة نهائية
- أخبار مراجعة نهائية اليوم
- مراجعة نهائية
- أسئلة امتحان هندسة ثالثة إعدادي
- ملخص هندسة ثالثة إعدادي
- مراجعة نهائية الأشكال الهندسية ثالثة إعدادي
- مراجعة نهائية الدوائر ثالثة إعدادي
- مراجعة نهائية المثلثات ثالثة إعدادي
- مراجعة نهائية المتوازيات والأضلاع ثالثة إعدادي
- مراجعة نهائية نظريات فيثاغورس ثالثة إعدادي
- مراجعة نهائية هندسة ثالثة إعدادي ترم أول
- مراجعة نهائية هندسة ثالثة إعدادي ترم ثاني
- مراجعة نهائية هندسة ثالثة إعدادي pdf
- أسئلة اختبار هندسة ثالثة إعدادي
- نماذج إجابات هندسة ثالثة إعدادي
