استغاثة 10 مدرسين ببورسعيد بالوزير لادراج اسمائهم في تعيينات 441
الثلاثاء 29/يوليو/2014 - 11:28 ص
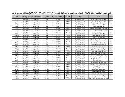
تسبب وكيل وزارة التربية والتعليم ببورسعيد في سقوط اسماء عشرة مدرسين من قسم التجارة تربوى من مسابقة 441 من التعيين دون وجود اسباب قانونية وذلك بعد اعلان نتيجة المسابقة فى 10/7/ 2014 وذلك بالمخالفة عما ورد بالاعلان الاصلى للمسابقة الذى يظهر ان العدد المطلوب للتعيين 30 مدرس من خريجى كلية التجارة شعبة تدريس مواد تجارية بينما تم تعيين 20 فقط
يناشد هؤلاء المعلمين الدكتور محمود ابوالنصر وزير التربية والتعليم بسرعة انصافهم وادراج اسمائهم ضمن التعيينات الجديدة اسوة بزملائهم
والمستندات المرفقة تكشف احقيتهم في التعيين
