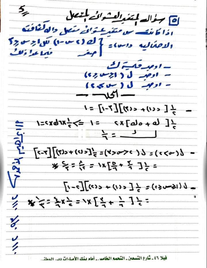
ملخص قوانين الاحصاء للثانوية العامة فى 11 ورقة.. اوعى تفوتها
يقدم موقع السبورة، خدمة مميزة لطلاب وطالبات، الثانوية العامة، للعام الدراسى الحالى 2022-2023، وذلك من خلال روشتة التفوق وصناعة الأوائل، وضمان الحصول على 100% من خلال ملخص قوانين الاحصاء، لن يخرج عنهم امتحان آخر العام للعام الدراسى الجارى 2022-2023، أعدها خبراء المادة فى وزارة التربية والتعليم.……… الاحصاء. الثانوية العامة. روشتة التفوق. صناعة الأوائل. الخلطة السحرية. وزارة التربية والتعليم. درس خصوصي.
الحصول على الدرجات النهائية
وللحصول على درجات النجاح والتفوق فى امتحانات الاحصاء، لطلاب وطالبات الثانوية العامة، من خلال المراجعة النهائية مع موقع السبورة، تابعوا المراجعة النهائية، والتى يتم نشرها يوميا………… الاحصاء. الثانوية العامة. روشتة التفوق. صناعة الأوائل. الخلطة السحرية. وزارة التربية والتعليم. درس خصوصي.
اقوى وابرز المراجعات النهائية
وتعد المراجعات النهائية لطلاب وطالبات الثانوية العامة، التى ينشرها موقع السبورة من اقوى وابرز المراجعات النهائية، والتى لن يخرج عنها امتحان آخر العام، فى جميع المواد عن تجربة من خلال السنوات الماضية، والذى يعد قسم درس خصوصى فى موقع السبورة، الرائد فى هذا المجال منذ عدة سنوات، حيث تأكد من خلال المراجعة النهائية حصول الطلاب على اكثر من 90% من الدرجات بعد المتابعة من خلال المراجعة النهائية فى موقع السبورة، بالاضافة الى الاسئلة المتوقعة فى امتحانات الصف الثانوية العامة بالنص.……… الاحصاء. الثانوية العامة. روشتة التفوق. صناعة الأوائل. الخلطة السحرية. وزارة التربية والتعليم. درس خصوصي.











يقدم موقع السبورة، خدمة مميزة لطلاب وطالبات، الثانوية العامة، للعام الدراسى الحالى 2022-2023، وذلك من خلال روشتة التفوق وصناعة الأوائل، وضمان الحصول على 100% من خلال ملخص قوانين الاحصاء، لن يخرج عنهم امتحان آخر العام للعام الدراسى الجارى 2022-2023، أعدها خبراء المادة فى وزارة التربية والتعليم.……… الاحصاء. الثانوية العامة. روشتة التفوق. صناعة الأوائل. الخلطة السحرية. وزارة التربية والتعليم. درس خصوصي.
الحصول على الدرجات النهائية
وللحصول على درجات النجاح والتفوق فى امتحانات الاحصاء، لطلاب وطالبات الثانوية العامة، من خلال المراجعة النهائية مع موقع السبورة، تابعوا المراجعة النهائية، والتى يتم نشرها يوميا………… الاحصاء. الثانوية العامة. روشتة التفوق. صناعة الأوائل. الخلطة السحرية. وزارة التربية والتعليم. درس خصوصي.
اقوى وابرز المراجعات النهائية
وتعد المراجعات النهائية لطلاب وطالبات الثانوية العامة، التى ينشرها موقع السبورة من اقوى وابرز المراجعات النهائية، والتى لن يخرج عنها امتحان آخر العام، فى جميع المواد عن تجربة من خلال السنوات الماضية، والذى يعد قسم درس خصوصى فى موقع السبورة، الرائد فى هذا المجال منذ عدة سنوات، حيث تأكد من خلال المراجعة النهائية حصول الطلاب على اكثر من 90% من الدرجات بعد المتابعة من خلال المراجعة النهائية فى موقع السبورة، بالاضافة الى الاسئلة المتوقعة فى امتحانات الصف الثانوية العامة بالنص.……… الاحصاء. الثانوية العامة. روشتة التفوق. صناعة الأوائل. الخلطة السحرية. وزارة التربية والتعليم. درس خصوصي.
