عاجل وهام للمعلمين وبالأسماء.. ننشر نتيجة اعتماد المدربين (مدرب عام تربوى/ تخصص).. اضغط هنا
الجمعة 18/نوفمبر/2016 - 02:06 م
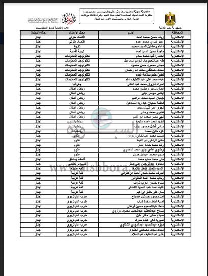
اعتمد الأستاذ الدكتور عيد عبدالواحد على، مدير الأكاديمية المهنية للمعلمين نتيجة اعتماد timthumbالسادة المدربين على مستوى الجمهورية الذين تم اعتمادهم من الفترة 23/10/2016 الى 8/11/2016 ( مدرب عام تربوى – تخصص )، وتم اعلان النتيجة اضغط هناااااااااا.
