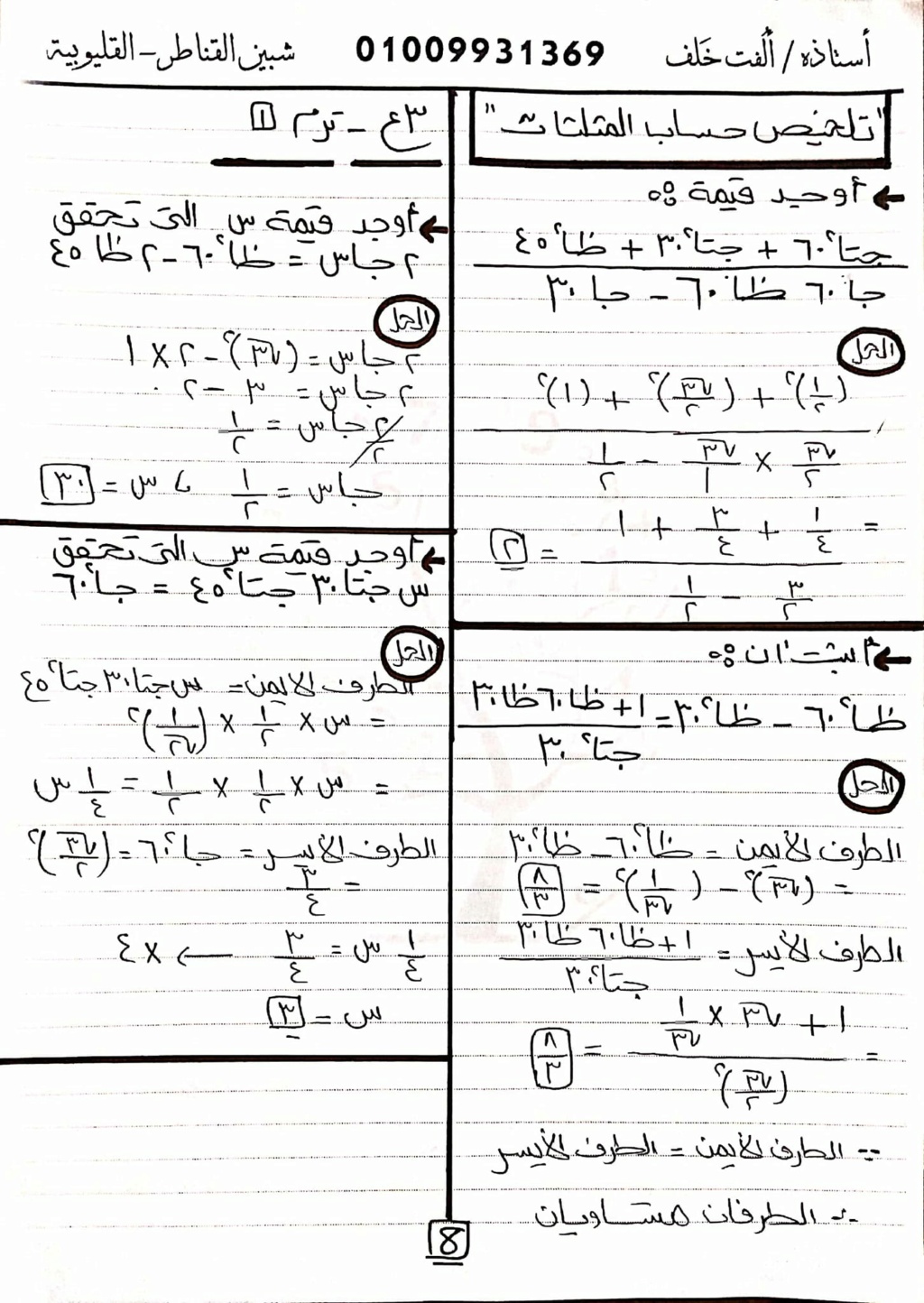
تلخيص حساب المثلثات لـ 3 إعدادى ترم اول + امتحان
يقدم موقع السبورة، خدمة مميزة لطلاب وطالبات الصف الثالث الاعدادى، للعام الدراسى الحالى 2022-2023، وذلك من خلال أقوى وابرز المراجعات النهائية، ومراجعة شاملة على مادة الرياضيات من خلال 11 امتحان واجابتهم من المحافظات، تضمن لك التفوق، اعدها مستر الفت خلف، خبير المادة فى وزارة التربية والتعليم……… مراجعات نهائية. المراجعات النهائية. درس خصوصى. الرياضيات. الصف الثالث الاعدادى.
الحصول على الدرجات النهائية
وللحصول على درجات النجاح والتفوق وامتحان فى مادة الرياضيات، لطلاب وطالبات الصف الثالث الاعدادى، من خلال المراجعة النهائية مع موقع السبورة، تابعوا المراجعة النهائية، والتى يتم نشرها يوميا ……… مراجعات نهائية. المراجعات النهائية. درس خصوصى. الرياضيات. الصف الثالث الاعدادى.
اقوى وابرز المراجعات النهائية
وتعد المراجعات النهائية لطلاب وطالبات الصف الثالث الاعدادى، التى ينشرها موقع السبورة من اقوى وابرز المراجعات النهائية، والتى لن يخرج عنها امتحان آخر العام فى جميع المواد عن تجربة من خلال السنوات الماضية، والذى يعد قسم درس خصوصى فى موقع السبورة، الرائد فى هذا المجال منذ عدة سنوات، حيث تأكد من خلال المراجعة النهائية حصول الطلاب على اكثر من 90% من الدرجات بعد المتابعة من خلال المراجعة النهائية فى موقع السبورة، بالاضافة الى الاسئلة المتوقعة فى امتحان الصف الثالث الاعدادى بالنص.……… مراجعات نهائية. المراجعات النهائية. درس خصوصى. الرياضيات. الصف الثالث الاعدادى.





يقدم موقع السبورة، خدمة مميزة لطلاب وطالبات الصف الثالث الاعدادى، للعام الدراسى الحالى 2022-2023، وذلك من خلال أقوى وابرز المراجعات النهائية، ومراجعة شاملة على مادة الرياضيات من خلال 11 امتحان واجابتهم من المحافظات، تضمن لك التفوق، اعدها مستر الفت خلف، خبير المادة فى وزارة التربية والتعليم……… مراجعات نهائية. المراجعات النهائية. درس خصوصى. الرياضيات. الصف الثالث الاعدادى.
الحصول على الدرجات النهائية
وللحصول على درجات النجاح والتفوق وامتحان فى مادة الرياضيات، لطلاب وطالبات الصف الثالث الاعدادى، من خلال المراجعة النهائية مع موقع السبورة، تابعوا المراجعة النهائية، والتى يتم نشرها يوميا ……… مراجعات نهائية. المراجعات النهائية. درس خصوصى. الرياضيات. الصف الثالث الاعدادى.
اقوى وابرز المراجعات النهائية
وتعد المراجعات النهائية لطلاب وطالبات الصف الثالث الاعدادى، التى ينشرها موقع السبورة من اقوى وابرز المراجعات النهائية، والتى لن يخرج عنها امتحان آخر العام فى جميع المواد عن تجربة من خلال السنوات الماضية، والذى يعد قسم درس خصوصى فى موقع السبورة، الرائد فى هذا المجال منذ عدة سنوات، حيث تأكد من خلال المراجعة النهائية حصول الطلاب على اكثر من 90% من الدرجات بعد المتابعة من خلال المراجعة النهائية فى موقع السبورة، بالاضافة الى الاسئلة المتوقعة فى امتحان الصف الثالث الاعدادى بالنص.……… مراجعات نهائية. المراجعات النهائية. درس خصوصى. الرياضيات. الصف الثالث الاعدادى.
